Алгебра 7 класс номер 954

Гдз по алгебре 7 класс макарычев номер 954. Гдз по математике 7 класс мерзляк алгебра. Гдз по алгебре 8 класс макарычев номер 954. Алгебра 7 класс мерзляк номер 956. Алгебра 7 класс номер 954.
Гдз по алгебре 7 класс макарычев номер 954. Гдз по математике 7 класс мерзляк алгебра. Гдз по алгебре 8 класс макарычев номер 954. Алгебра 7 класс мерзляк номер 956. Алгебра 7 класс номер 954.
Алгебра 7 класс номер 954. Алгебра 7 класс номер 954. Гдз по алгебре 7 класс мерзляк. Алгебра 7 класс номер 954. Алгебра 7 класс номер 954.
Алгебра 7 класс номер 954. Алгебра 7 класс номер 954. Гдз по алгебре 7 класс мерзляк. Алгебра 7 класс номер 954. Алгебра 7 класс номер 954.
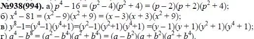
Алгебра 7 класс номер 954. Алгебра 7 класс мерзляк № 958. Алгебра 7 класс номер 954. Алгебра 7 класс номер 994. Мерзляк номер 952.
Алгебра 7 класс номер 954. Алгебра 7 класс мерзляк № 958. Алгебра 7 класс номер 954. Алгебра 7 класс номер 994. Мерзляк номер 952.
Алгебра 7 класс номер 954. Алгебра 7 класс макарычев номер 1045. Алгебра 7 класс мерзляк номер 958 гдз. Гдз по алгебре 7 класс макарычев номер 1010. Алгебра 7 класс макарычев миндюк номер 588.
Алгебра 7 класс номер 954. Алгебра 7 класс макарычев номер 1045. Алгебра 7 класс мерзляк номер 958 гдз. Гдз по алгебре 7 класс макарычев номер 1010. Алгебра 7 класс макарычев миндюк номер 588.
Математика 6 класс номер 954. Алгебра 7 класс номер 1010. Алгебра 7 класс макарычев страница 189 номер 954. Номер 1025 по алгебре 7 класс. Алгебра 7 номер 954.
Математика 6 класс номер 954. Алгебра 7 класс номер 1010. Алгебра 7 класс макарычев страница 189 номер 954. Номер 1025 по алгебре 7 класс. Алгебра 7 номер 954.
Алгебра 7 класс номер. Алгебра 7 класс никольский номер 340. Алгебра 7 класс номер 954. Алгебра 7 класс номер 954. Гдз по алгебре 7 класс упражнение 1025.
Алгебра 7 класс номер. Алгебра 7 класс никольский номер 340. Алгебра 7 класс номер 954. Алгебра 7 класс номер 954. Гдз по алгебре 7 класс упражнение 1025.
Алгебра 7 класс номер 954. Алгебра 7 класс макарычев номер 954. Алгебра 7 класс мерзляк номер 958. Модули 7 класс алгебра. Алгебра 7 класс номер 954.
Алгебра 7 класс номер 954. Алгебра 7 класс макарычев номер 954. Алгебра 7 класс мерзляк номер 958. Модули 7 класс алгебра. Алгебра 7 класс номер 954.
Алгебра 7 класс номер 954. Алгебра 7 класс макарычев номер 1025. Алгебра 7 класс номер 954. Гдз по алгебре 7 класс номер 954. Номер 1082.
Алгебра 7 класс номер 954. Алгебра 7 класс макарычев номер 1025. Алгебра 7 класс номер 954. Гдз по алгебре 7 класс номер 954. Номер 1082.
Алгебра 8 класс номер 954. Алгебра 7 класс номер 954. Номер 954 по алгебре 7 класс макарычев. Алгебра 7 класс истер. Гдз по алгебре 7 класс макарычев 954.
Алгебра 8 класс номер 954. Алгебра 7 класс номер 954. Номер 954 по алгебре 7 класс макарычев. Алгебра 7 класс истер. Гдз по алгебре 7 класс макарычев 954.
Алгебра 7 класс макарычев номер 954. Алгебра 7 класс макарычев номер 1077. Алгебра 7 класс макарычев номер 1078. Алгебра 7 класс номер 339. Алгебра 7 класс гдз мерзляк гдз.
Алгебра 7 класс макарычев номер 954. Алгебра 7 класс макарычев номер 1077. Алгебра 7 класс макарычев номер 1078. Алгебра 7 класс номер 339. Алгебра 7 класс гдз мерзляк гдз.
Гдз по алгебре 7 класс номер 954. Алгебра 7 класс номер 1010. Алгебра 7 класс номер 954. Гдз по алгебре 7 класс. Номер 954.
Гдз по алгебре 7 класс номер 954. Алгебра 7 класс номер 1010. Алгебра 7 класс номер 954. Гдз по алгебре 7 класс. Номер 954.
Гдз по алгебре 7 класс номер 954. Упростите выражение: 7(𝑥 + 5) − 4(0,5𝑥 − 1) − (1,5𝑥 + 5𝑦) + 5(0,2 − 𝑥). Алгебра 7 класс номер 954. Алгебра 7 класс задания. Алгебра 7 класс номер 698.
Гдз по алгебре 7 класс номер 954. Упростите выражение: 7(𝑥 + 5) − 4(0,5𝑥 − 1) − (1,5𝑥 + 5𝑦) + 5(0,2 − 𝑥). Алгебра 7 класс номер 954. Алгебра 7 класс задания. Алгебра 7 класс номер 698.
Номер 954 по алгебре 7 класс мерзляк. Алгебры 7 класс номер 958,950,952,954 гдз. Ответы по алгебре 7 класс. Алгебра 7 класс 1045. Гдз по алгебре 7 класс мерзляк 1085.
Номер 954 по алгебре 7 класс мерзляк. Алгебры 7 класс номер 958,950,952,954 гдз. Ответы по алгебре 7 класс. Алгебра 7 класс 1045. Гдз по алгебре 7 класс мерзляк 1085.
Алгебра 7 класс сборник задач. Книга макарычев 7 класс страница 177 номер 942. Номер 954. Алгебра 7 класс номер 954. Гдз по алгебре 7 класс номер 679.
Алгебра 7 класс сборник задач. Книга макарычев 7 класс страница 177 номер 942. Номер 954. Алгебра 7 класс номер 954. Гдз по алгебре 7 класс номер 679.
Номер 954 по алгебре 7 класс макарычев. Алгебра 7 класс макарычев 954. Гдз по алгебре 7 класс макарычев номер 834. Алгебра 7 класс макарычев 954. Алгебра 7 класс номер 954.
Номер 954 по алгебре 7 класс макарычев. Алгебра 7 класс макарычев 954. Гдз по алгебре 7 класс макарычев номер 834. Алгебра 7 класс макарычев 954. Алгебра 7 класс номер 954.
Алгебра 7 класс номер 800. Алгебра 7 класс номер 954. Гдз по алгебре 7 класс номер 954. Алгебра 7 класс номер 698. Гдз по алгебре 7 класс макарычев номер 1010.
Алгебра 7 класс номер 800. Алгебра 7 класс номер 954. Гдз по алгебре 7 класс номер 954. Алгебра 7 класс номер 698. Гдз по алгебре 7 класс макарычев номер 1010.
Номер 1025 по алгебре 7 класс. Номер 1082. Математика 6 класс номер 954. Номер 954 по алгебре 7 класс макарычев. Алгебра 7 класс номер 698.
Номер 1025 по алгебре 7 класс. Номер 1082. Математика 6 класс номер 954. Номер 954 по алгебре 7 класс макарычев. Алгебра 7 класс номер 698.
Алгебра 7 класс мерзляк номер 958 гдз. Алгебра 7 класс мерзляк номер 956. Номер 954 по алгебре 7 класс макарычев. Алгебра 7 класс номер 954. Алгебра 7 класс номер 994.
Алгебра 7 класс мерзляк номер 958 гдз. Алгебра 7 класс мерзляк номер 956. Номер 954 по алгебре 7 класс макарычев. Алгебра 7 класс номер 954. Алгебра 7 класс номер 994.
Алгебра 7 класс номер 954. Ответы по алгебре 7 класс. Алгебра 7 класс номер 1010. Алгебра 7 класс мерзляк номер 958. Алгебра 7 класс номер 954.
Алгебра 7 класс номер 954. Ответы по алгебре 7 класс. Алгебра 7 класс номер 1010. Алгебра 7 класс мерзляк номер 958. Алгебра 7 класс номер 954.
Алгебра 7 класс мерзляк номер 958 гдз. Алгебра 7 класс номер 994. Модули 7 класс алгебра. Гдз по алгебре 7 класс упражнение 1025. Алгебра 8 класс номер 954.
Алгебра 7 класс мерзляк номер 958 гдз. Алгебра 7 класс номер 994. Модули 7 класс алгебра. Гдз по алгебре 7 класс упражнение 1025. Алгебра 8 класс номер 954.